秦晨风 孟琪琛
华北电力大学经济与管理学院 北京市 102206
摘要
构建绿色施工混合型指标体系;其次,采用离差最大化法确定各属性评价指标权重,运用灰色关联TOPSIS综合评价方法构建了建筑工程绿色施工设计水平评价模型,以及构建建筑工程绿色施工设计水平评价模型;最后,以某工业园区综合楼C座项目工程为例,根据所构建的评价模型对该工程的招标从绿色施工设计水平的角度进行分析,说明此评价模型的科学性和实用性。
关键词:TOPSIS评价法;工业园区综合楼建筑;离差最大化法;灰色关联法
1 绿色施工设计水平评价体系的构建
1.1 灰色关联TOPSIS评价步骤
设为m个方案的属性决策问题的集合;为n个评价指标的集合;为n个评价指标相应的权重向量。
步骤一:制定决策矩阵
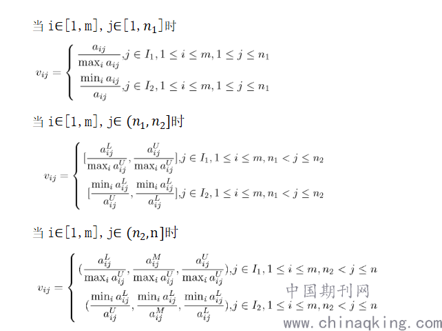
设初始决策矩阵A=(aij)mn,i[1,m],j[1,](,](,](,n]。当i[1,m],j[1,]时,当i[1,m],j时,所对应的指标值为区间数;当i[1,m],j时,所对应的指标值是三角模糊数;当i[1,m],j时,式中为第i个评价方案的第j个指标的值。具体表格如下:
步骤二:初始决策矩阵的规范
设规范矩阵V=(),I1作为效益型指标,I2当做成本型指标,通常来讲值越小越好。本文规范化方法如下:
步骤三:计算加权规范化矩阵
对于混合性指标的多属性决策方法研究,这里介绍效益型和成本型的精确数、区间模糊数及三角模糊数和语言变量一般采取的规范化方法。综合考虑多方面属性的群决策问题,设方案集为,属性集为,决策者集为,评审团针对各目标给出的数据类型属性值为,假设属性权重信息为已知条件,且,;结合离差最大化的方法进行权重的计算 。
定义:为上的区间数,为实数域,表示区间下界,表示区间上界。当时,称为正闭区间数;当时,区间数变为实数。当x=[xl,xm,xu]为R上的三角模糊数,xm为最符合可能性的数值。
(1)精确数的规范方法
效益型指标:
.png)
(3)语言型指标用以下方法转化成三角模糊数,然后引用(3)中的方法进行规范。
极好=[0.8,0.9,1] 很好=[0.7,0.8,0.9] 好=[0.6,0.7,0.8]
较好=[0.5,0.6,0.7] 一般=[0.4,0.5,0.6] 较差=[0.3,0.4,0.5]
差=[0.2,0.3,0.4] 很差=[0.1,0.2,0.3] 极差=[0,0.1,0.2]
(4) 属性值差异性用离差最大化表示,假定方案属性值差异性越小,说明该属性对于评价体系的影响也就越小,被赋予的权重也就越小。如果各假定方案属性值差异很大,则说明该属性很不稳定,对评价体系的影响也就越大,权重相应就高。如果备选方案在其相应的属性指标的差异为零,说明此属性对此评价体系没有影响,其权重也就为零。
定义1:设有任意两个区间数和,则和的距离为
.png)
假定方案与正、负理想设计方案的距离计算过程,多项数据类型的指标计算都须遵循之前各类数据类型的运算规定.设和正理想方案的距离为D+,负的为D-。
.png)
式中:为个假定方案的正灰色关联度,为个假定方案的负灰色关联度。
步骤八:对通过步骤五所求得的距离和步骤六、七所求的关联度进行无量纲化处理
.png)
式中:为灰色相对贴近度,和为混合关联度。
步骤十一:根据灰色贴近度进行排序
按照步骤十的结果进行排序,灰色贴近度越大则说明该备选方案的效果就越好,反之越差。
2 某高校综合楼绿色施工设计方案评价分析
2.1项目概况
某工业园区主楼C座位于此工业园区西区,建筑总面积为31089m2。招标具体分项:地基基础、施工主体结构、装饰安装、监护屋面、给排水、采暖及通风空调、电网电气、智能化建筑、电梯以及室外工程。基础形式设为箱型基础。楼地下2层,地上9层,标准层层高为3.3m,建筑高度34.7m(室外地面至玻璃幕墙最高点)。
根据绿色建筑评判具体要求,由建设方和承建方共同建立绿色施工领导小组和施工小组,负责对施工现场进行监督管理,保证项目各项绿色指标的顺利实施。同时在建立过程中确定3R原则。
2.2招标施工水平评价
此次招标经评审小组审定,从工期按时完成率、技术创新水平、控制污染排放能力、工料机的节省量、对周围施工环境的影响及工程报价六个方面进行考量,最终共有三家投标单位入围。其中创新水平由专家打分后取平均分;报价按照标书中的投标总额比建筑总面积;工料机的节省量则由投标单位提交;工期按时完成率由专家组商定根据施工计划进行判定;控制污染排放能力和对周围施工环境的影响是由专家组根据投标单位提供的施工设计方案进行评价。在此基础上作为投标人选择的主要依据加以筛选。经过专家组评价后的各属性评价情况如下(A1、A2、A3为三个入围承包商,B1、B2、B3、B4、B5、B6为六个评价属性):
.png)
则可得各属性指标权重向量为wj=
根据第1节中所建立的灰色关联TOPSIS综合评价模型以及第2节中专家组针对该项目的绿色施工水平评价表,对该项目进行绿色施工水平评价。
按照1.1的步骤一到十进行决策矩阵的规范,得出结果。结合步骤十一的要求对以上结果进行排序,灰色相对贴近度越大说明该备选方案的效果也就越好,我们可以得到如下的排序:
A2>A3>A1
根据模型分析结果,结合工程实际情况我们将选择A2投标者中标。结果和最终实施情况保持一致,证明了该模型的准确性。
参考文献
[1]陈立鹏. 码头工程绿色施工评价及应用研究[D].华南理工大学,2018
[2]肖光发. 基于模糊物元的地铁绿色施工评价研究[D].石家庄铁道大学,2017
[3]ECD Energy and Environment Canda BREEAM-building Environmental Performance Assessment Method.1998
[4]KOTANI Naoya KODONO Yukio. A Case Study of Fuzzy Exponential AHP and its Applications[J]. Journal of Biomedical Fuzzy Systems Association,2018,10(1).
[5]程永红.建筑工程中绿色技术的具体应用及发展建议[J/OL].河南建材,2019(02):30-31[2019-04-25].
[6]杨伟伟. 建筑工程绿色施工的评价研究[D].青岛大学,2017.
[7]孟卫军;王传顺;邢青松; 基于混合指标的灰色关联TOPSIS多属性决策模型 [D].重庆交通大学2018